Skip to main content

Featured

Dimension Of Social Health

Dimension Of Social Health . At the bedside, in the intensive care unit, in the operating room, in the physician's office. 21 3 4 i maintain a network of supportive friends, family and social contacts. Chapter 1 Models and Frameworks Principles of Community from www.atsdr.cdc.gov Dimensions sociales de la santé mentale. At the bedside, in the intensive care unit, in the operating room, in the physician's office. Becoming engaged with other people in your.

Wire Size Chart Pdf


Wire Size Chart Pdf. Sling capacity decreases as the angle from horizontal decreases. For the 00, 000, 0000 etc.

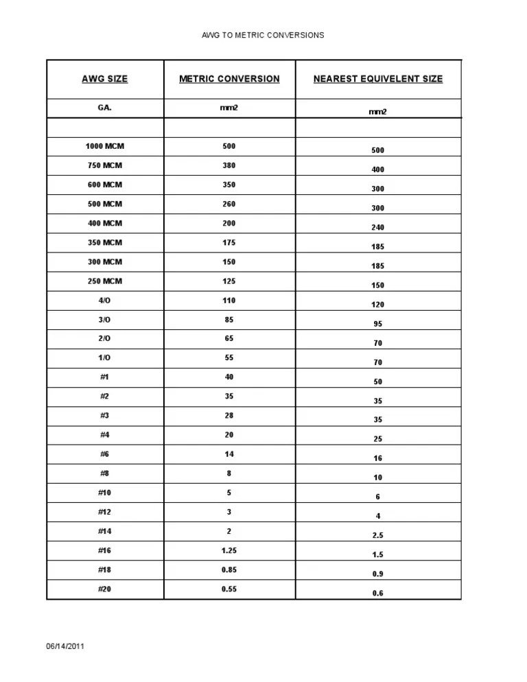
American Wire Gauge (AWG) Cable Conductor Size Chart
American Wire Gauge (AWG) Cable Conductor Size Chart from www.scribd.com

Section 310.16 conditions of use: Go up a size for more than 100 foot runs, when the Explanation of wire charts 22 gpt insulation thickness stranding nom.

The Feeder Overcurrent Protection Device Must Be Sized Not Less Than 125% Of 184 Amperes, 184 Amperes X 125% =.


Equivalent wire gauges are defined subject to rounding and are meant to help identify the relative thickness of the wire by gauge. (in.) eip, iwrc 2 min. Sling capacity decreases as the angle from horizontal decreases.

For A Long Run, Though, You Should Use The Next Larger Size Wire, To Avoid Voltage Drops.


Current is measured in amperes or “amps.” you must use the correct size wire for the current (load) requirement of the circuit to prevent the wire from overheating. Inches pounds per 1/m feet reel quantity feet 7x30.023.074 4 5/m basic layout of the wire chart. 2 #8 w/2 #12 twister® 340™ orange min.

Slings Should Not Be Used At Angles Of Less Than 30°.


D xd number of strands = cma wire sizes d d wire size awg. Be sure to use this mm to awg conversion calculator often. The cable size shown for any given current may not be the rated maximum current capacity for the cable size, it is based on reducing the voltage drop to within acceptable limits.

Cma = D2 Multiply The Diameter Of One Strand (In Mils) By Itself, And Then Multiply The Result By The Total Number Of Strands.


Break strength lbs kg maximum dc resistance ohms/ 1,000’ ohms/ km circular area 56 1 s solid 0.00049 0.0124 0.24 0.00012 0.00070 0.001 0.0066 0.00 46949 154039 Wire range chart wire range chart widest range in the industry widest range twister® 340™ orange min. Wire mesh is a prefabricated joined grid that is electric fusion welded and consists of a series of parallel longitudinal wires with precise spacing welded to cross wires at the required spacing.

For The 00, 000, 0000 Etc.


Explanation of wire charts 22 gpt insulation thickness stranding nom. Wire chart 12 volt acceptable cable size (mm†) cable length (metres) amps 1 2 5 10 15 20 25 30 0.5 0.4 0.4 0.4 0.4 1.84 1.84 1.84 1.84 1. Multiply the diameter in mils by itself.


Comments

Popular Posts